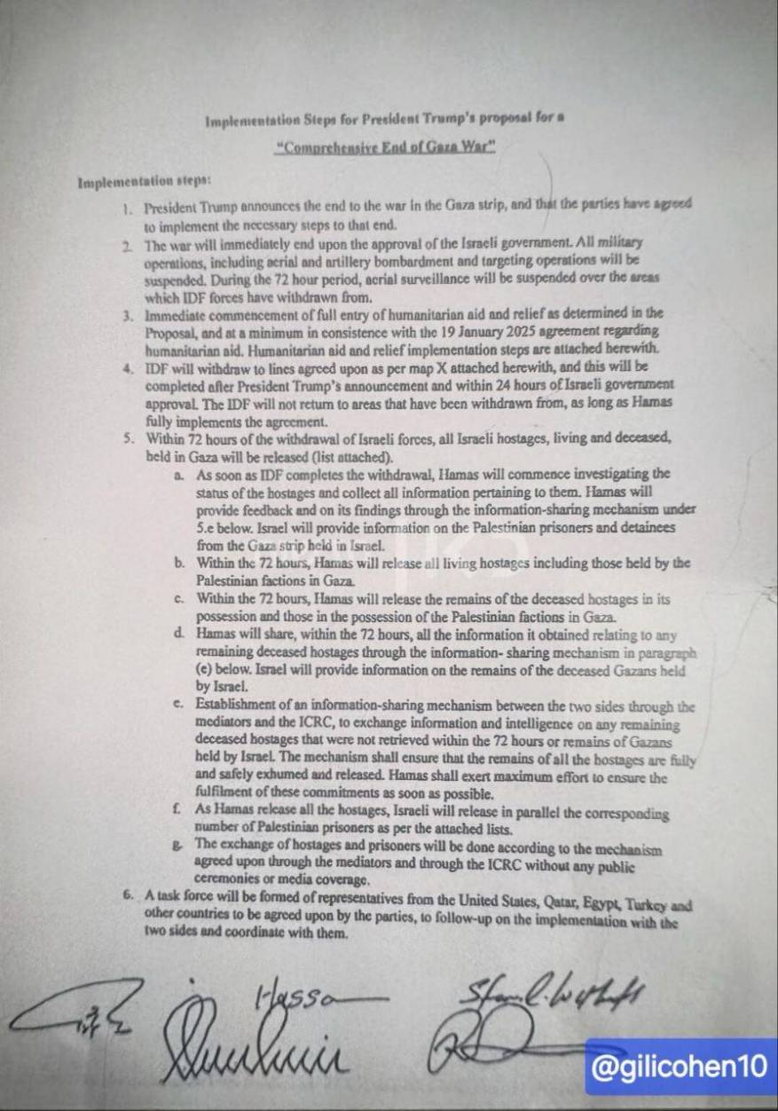
نشرت هيئة البث العبرية الوثيقة التوافقية بين إسرائيل وحماس وجاء فيها خطوات تنفيذ مقترح الرئيس ترامب بشأنالإنهاء الشامل لحرب غزة.
*خطوات التنفيذ:*
1. *يعلن الرئيس ترامب عن نهاية الحرب في قطاع غزة، وتوافق الأطراف المعنية على تنفيذ الخطوات اللازمة لتحقيق ذلك الهدف.*
2. *تنتهي الحرب فور موافقة الحكومة الإسرائيلية. جميع العمليات العسكرية، بما في ذلك القصف الجوي والمدفعي والعمليات الاستهدافية، سيتم تعليقها*.
*خلال فترة الـ72 ساعة، سيتم تعليق المراقبة الجوية فوق المناطق التي انسحبت منها قوات الجيش الإسرائيلي.*
3. *البدء الفوري في إدخال المساعدات الإنسانية والإغاثية بشكل كامل وفقًا لما ورد في المقترح، وبحدٍ أدنى بما يتماشى مع اتفاق 19 يناير 2025 بشأن المساعدات الإنسانية*.
*وتُرفق خطوات تنفيذ المساعدات والإغاثة مع هذا النص.*
4. *تنسحب قوات الجيش الإسرائيلي إلى الخطوط المتفق عليها وفقًا للخريطة (X) المرفقة، وسيتم إتمام ذلك بعد إعلان الرئيس ترامب وخلال 24 ساعة من موافقة الحكومة الإسرائيلية*.
*ولن تعود قوات الجيش الإسرائيلي إلى المناطق التي انسحبت منها طالما تلتزم حماس بالكامل بتنفيذ الاتفاق.*
5. *خلال 72 ساعة من انسحاب القوات الإسرائيلية، يتم الإفراج عن جميع الرهائن الإسرائيليين المحتجزين في غزة، أحياءً وأمواتًا*
*(قائمة مرفقة)*.
أ. *بمجرد استكمال انسحاب الجيش الإسرائيلي، تبدأ حماس بالتحقيق في وضع الرهائن وجمع كافة المعلومات المتعلقة بهم. وستقدم حماس ملاحظاتها ونتائجها من خلال آلية تبادل المعلومات الواردة في الفقرة (5-هـ) أدناه*. *وستقوم إسرائيل بتقديم معلومات عن الأسرى والمحتجزين الفلسطينيين من غزة الموجودين في السجون الإسرائيلية.*
ب. *خلال 72 ساعة، تطلق حماس سراح جميع الرهائن الأحياء، بما في ذلك من تحتجزهم الفصائل الفلسطينية في غزة*.
ج. *خلال 72 ساعة، تُسلّم حماس رفات الرهائن المتوفين الذين بحوزتها أو لدى الفصائل الفلسطينية في غزة.*
د. *تشارك حماس، خلال 72 ساعة، جميع المعلومات التي حصلت عليها بشأن الرهائن المتوفين من خلال آلية تبادل المعلومات المذكورة في الفقرة (هـ) أدناه*.
*وستقدم إسرائيل معلومات عن رفات الغزيين المتوفين المحتجزين لديها.*
هـ. *إنشاء آلية تبادل معلومات بين الطرفين عبر الوسطاء واللجنة الدولية للصليب الأحمر، لتبادل المعلومات الاستخباراتية حول أي رهائن متوفين لم يتم استرجاعهم خلال 72 ساعة، أو رفات الغزيين المحتجزين لدى إسرائيل*.
*ويضمن هذا النظام استخراج الرفات بشكل آمن وكامل وتسليمها.* *وستبذل حماس أقصى جهد ممكن للوفاء بهذه الالتزامات بأسرع وقت ممكن.*
و. *مع إطلاق حماس لجميع الرهائن، تقوم إسرائيل بإطلاق عدد مماثل من الأسرى الفلسطينيين وفقًا للقوائم المرفقة.*
. *تتم عملية تبادل الأسرى والرهائن وفقًا للآلية المتفق عليها عبر الوسطاء واللجنة الدولية للصليب الأحمر، دون أي مراسم علنية أو تغطية إعلامية.*
6. *يتم تشكيل فريق عمل من ممثلين عن الولايات المتحدة وقطر ومصر وتركيا ودول أخرى يتم الاتفاق عليها بين الطرفين، لمتابعة تنفيذ الاتفاق والتنسيق بين الجانبين*


